If you live and work in Japan, you should definitely be taking advantage of this benefit. Furusato Nozei or Hometown Tax Donation Programme is a system that was introduced by the Japanese government in 2008 to bring back and to promote business in local prefectures. The way it works is that you pick a prefecture or municipality that you want to donate to and in exchange for your donation you will get local produce sent to you. OK, so what’s in it for me you might be asking? The short answer is that you will be entitled to a tax credit equivalent to the donation amount (minus a 2000 JPY portion which is not tax deductible), so with only 2000 JPY you are technically getting goods of superior value for free. Not bad.
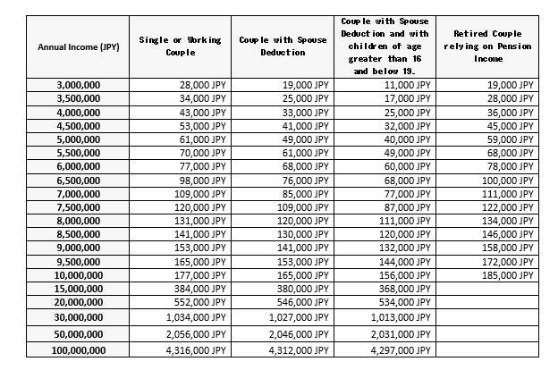
The amount that you can donate will depend on your tax bracket and on other tax credits that you might already be claiming. The below are very rough estimates but they should give you an idea of how much you can expect to claim based on your income tax bracket.

(SOURCE: https://www.furusato-tax.jp/about/simulation#simulation-detail-link-pc)
There are several websites that offer online simulators to help you calculate the exact amount that you can donate. Here are a few that I recommend:
Good Simulator in English
https://en.furumaru.jp/info/simulation.php
Detailed Simulator in Japanese
https://www.furusato-tax.jp/about/simulation#simulation-detail-link-pc
How does it work?
Assuming you went through the above simulators and you have the amount that you want to donate, you can check online shops that allow you to order Nozei Gifts. The below are just some examples that I’ve picked:
- A website in Japanese that provides a ranking of popular Nozei Gifts.
https://furunavi.jp/ranking_total.aspx
- This is the one that I have been using. Unfortunately, it’s only in Japanese but it provides a good selection of products and a user-friendly interface.
These are just a few examples but you can type Furusato Nozei in to any search engine and you will come across numerous results. You will be able to order a wide selection of items:
- Fruit and vegetables from local prefectures
- Holidays to visit your chosen prefecture
- Alcohol
- Clothes
- Pottery
- Sweets
And the list goes on.
Don’t forget to pay by credit card for that extra bit of value.
I have a Rakuten credit that gives me 1 point for every 100 JPY spend. So if I donate 100,000, that’s 100,000 * 0.01 = 1,000 JPY which is nothing to be sniffed at, plus my yearly Furusato Nozei spend helps me maintain Platinum status on my card which comes with added bonuses.
Will I need to file a Tax Return (確定申告)?
You can use the “One Stop Special Exemption” instead of filing a Tax Return. When you pay for your gift the prefecture will send you a thank you letter via post in addition to proof of your donation. Ensure to keep this in a safe place as it might be required in the future. In addition to this, you will also receive a form that will allow you to request the “One Stop Special Exemption”. Basically, if you tick yes to this and send the relevant documents, the prefecture will automatically declare your donation to your local tax authority so you don’t need to declare it yourself. The relevant documents are: (1) a scan of your My Number Card/Notification Card (2) a scan of an authorised document (passport, resident card, insurance card etc.), you will see in your form what documents are allowed so make sure to read that to avoid having to send documents back and forth. To note that if you have to file a Tax Return for other purposes (which was my case), you WILL need to declare your gift in order to get your tax deduction. This is when your proof of donation document is required. If you declare your donation in your Tax Return you will need to post the original certificate of receipt for your donation (make sure to take a scan before sending the original). I have scanned below the receipt that I got so you can see what one looks like:

Now that you have done the hard work, the next step is to enjoy the gifts that you will receive via post. As for the tax deduction, you will reap the rewards in the form of a tax deduction from the income tax and resident tax in the following fiscal year.
I hope you find this post useful and if you have any questions please feel free to post them in the comments section. Thank you for reading.